高壓水射流油管清洗噴頭旋轉動密封設計
時間:2014-01-25 12:12:32作者:LeeZhou來源:德高潔清潔設備分享到:QQ空間新浪微博騰訊微博人人網微信
高壓水射流油管清洗噴頭的關鍵是密封技術,密封失效不但會浪費水力能量,而且容易造成密封后部軸承的失效,從而影響整個噴頭的使用。常見的旋轉密封一般為O形圈密封或填料密封,由于水的潤滑性差,粘度低,隨著使用壓力及旋轉速度的不斷提高,摩擦副極易受損。而高壓水間隙密封機構則可以很好地解決這一問題。
間隙密封的機制是在固定件和運動件的接觸面設置一個很小的環形間隙,流體在通過這一環形間隙時,由于節流效應產生很大的流阻,從而減少了泄漏。在間隙中流動的流體遵循阻抗流動法則。我們在設計過程中,同時參考迷宮密封原理,在旋轉套上加工多道溝槽,進一步耗散流體的能量,增強密封效果。但這種密封機構仍不可避免地存在流體泄漏現象,經研究認為,當泄漏量小于射流流量的10%時密封有效,否則判定為失效。密封部位泄漏量可由下式計算:
公式(1)
公式(1)中:q —泄漏量,m³/s;
Ce —修正系數;
d —密封面中徑,m;
μ —流體動力粘度,Pa•s;
L —密封段長度,m;
h —密封間隙高度,m;
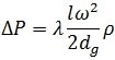
ΔP —密封兩端壓力差,Pa可由下式近似計算:
公式(2)
公式(2)中:λ —阻力系數,與雷諾數有關;
ρ —流體的密度,kg/m³;
dg —等效直徑,m可由下式近似計算:
公式(3)
需要指出的是,應合理設計密封段直徑和間隙的高度,盡可能減少不必要的泄漏。密封段直徑越小,密封間隙就越小,泄漏就越少,但加工手段也會越復雜。同時,考慮裝配的靈活性因素,我們認為密封段直徑不大于10 mm,密封間隙取為0.002~0.005 mm是比較合適的。心軸上的溝槽尺寸暫時沒有可用的理論或經驗數據,試驗后認為(0.5 mm×0.5 mm)是比較理想的。
間隙密封的機制是在固定件和運動件的接觸面設置一個很小的環形間隙,流體在通過這一環形間隙時,由于節流效應產生很大的流阻,從而減少了泄漏。在間隙中流動的流體遵循阻抗流動法則。我們在設計過程中,同時參考迷宮密封原理,在旋轉套上加工多道溝槽,進一步耗散流體的能量,增強密封效果。但這種密封機構仍不可避免地存在流體泄漏現象,經研究認為,當泄漏量小于射流流量的10%時密封有效,否則判定為失效。密封部位泄漏量可由下式計算:

公式(1)中:q —泄漏量,m³/s;
Ce —修正系數;
d —密封面中徑,m;
μ —流體動力粘度,Pa•s;
L —密封段長度,m;
h —密封間隙高度,m;
ΔP —密封兩端壓力差,Pa可由下式近似計算:

公式(2)中:λ —阻力系數,與雷諾數有關;
ρ —流體的密度,kg/m³;
dg —等效直徑,m可由下式近似計算:

需要指出的是,應合理設計密封段直徑和間隙的高度,盡可能減少不必要的泄漏。密封段直徑越小,密封間隙就越小,泄漏就越少,但加工手段也會越復雜。同時,考慮裝配的靈活性因素,我們認為密封段直徑不大于10 mm,密封間隙取為0.002~0.005 mm是比較合適的。心軸上的溝槽尺寸暫時沒有可用的理論或經驗數據,試驗后認為(0.5 mm×0.5 mm)是比較理想的。
熱門搜索: