高壓水射流管式空氣預熱器清洗方案—射流作用力與射流直徑參數計算
時間:2013-12-17 15:09:15作者:LeeZhou來源:德高潔清潔設備分享到:QQ空間新浪微博騰訊微博人人網微信
高壓水射流清洗技術是以水為介質,利用高壓水發生裝置產生高壓水,通過噴嘴將巨大的壓力轉變為能量高度聚集的水射流,利用高壓水射流的強大沖擊力沖擊污垢,把污垢剝離、清除,從而達到清洗的目的。由于高壓水射流具有沖刷、楔劈、剪切、磨削等復合破碎作用,可立即將結垢物打碎脫落并沖走,從而實現垢層和管壁的分離。之前我們介紹了高壓水射流清洗鍋爐管式空氣預熱器出口速度參數計算,以下主要介紹射流作用力與射流直徑參數計算。
一、射流作用力參數計算
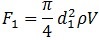
噴嘴前孔噴出的高壓水射流對管內堵灰的作用力F1,根據動量定理及垂直射流的特點,可以推導出:
公式(1)
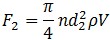
同理,噴嘴反射孔噴出的射流對管壁的作用力F2為:
公式(2)
式中ρ —水的密度,kg/cm³。
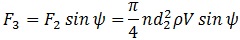
F2在管壁垂直方向的作用力F3為:
公式(3)
由牛頓第三定律可知,管內堵灰和管內壁對噴嘴的反作用力F'1和F'2分別與F1和F2大小相等,但方向相反。即有:F'1=F1,F'2=F2。因此,管內壁及堵灰給噴嘴的前進推力F4應為:
公式(4)
噴嘴及高壓軟管在管內前進時所受到的推力F5為:
公式(5)
二、射流直徑參數計算
水射流自噴嘴噴出后就逐漸擴散,距噴嘴出口距離為l時的射流直徑 D 可由下述經驗公式求得:
公式(6)
一、射流作用力參數計算
噴嘴前孔噴出的高壓水射流對管內堵灰的作用力F1,根據動量定理及垂直射流的特點,可以推導出:

同理,噴嘴反射孔噴出的射流對管壁的作用力F2為:

式中ρ —水的密度,kg/cm³。
F2在管壁垂直方向的作用力F3為:

由牛頓第三定律可知,管內堵灰和管內壁對噴嘴的反作用力F'1和F'2分別與F1和F2大小相等,但方向相反。即有:F'1=F1,F'2=F2。因此,管內壁及堵灰給噴嘴的前進推力F4應為:

噴嘴及高壓軟管在管內前進時所受到的推力F5為:

二、射流直徑參數計算
水射流自噴嘴噴出后就逐漸擴散,距噴嘴出口距離為l時的射流直徑 D 可由下述經驗公式求得:

熱門搜索: